|
From: Melon888
小的发现啊,读佛经就算暂且不论法义的精辟,光读故事也很有趣。同一件事情,在不同经文有时可看到不同角度的侧写,读起来实在很有意思 以世尊在界隔山中为释提桓因讲解“爱尽解脱”之义为例:
《杂阿含、卷20、552经》 时,诃梨聚落主长者诣尊者摩诃迦旃延所,稽首礼足,退坐一面,白尊者摩诃迦旃延:“如世尊于界隔山天帝释石窟说言:‘憍尸迦,若沙门、婆罗门无上爱尽解脱,心正善解脱,究竟边际,究竟无垢,究竟梵行,毕竟清净。’云何于此法、律究竟边际,究竟无垢,究竟梵行,毕竟清净?”
《杂阿含、卷19、505经》 尔时,尊者大目揵连独一静处禅思,作是念:“昔有时,释提桓因于界隔山石窟中,问世尊爱尽解脱之义,世尊为说,闻已随喜,似欲更有所问义,我今当往问其喜意。”作是念已,如力士屈申臂顷,于耆阇崛山没,至三十三天,去一分陀利池不远而住。
《杂阿含、卷35、988经》 时,释提桓因白佛言:“世尊,世尊曾于隔界山石窟中说言:‘若有沙门、婆罗门无上爱尽解脱、心善解脱,彼边际、究竟边际、离垢边际、梵行毕竟。’云何为比丘边际、究竟边际、离垢边际、梵行毕竟?”
[melon注]
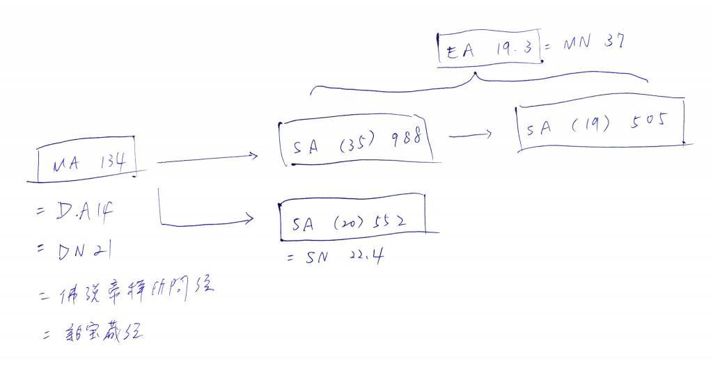
chakwos: 在读今天的读经班进度时发现,《中阿含经》卷三十三第134经大品释问经好像是这一切的开始,当中天帝释在鞞陀提山(界隔山)石窟向佛问法,佛陀说法中提到:“若有沙门、梵志于无上爱尽,正善心解脱者,彼至究竟、究竟白净、究竟梵行、究竟梵行讫”。 root: 我查到大正藏还有一部《佛说帝释所问经》也是中阿含第134经的异译。 David Chiou: 感谢各位同学的分享及讨论,关于天帝释在界隔山石窟问爱尽解脱之义的相关经典,终于串起来了: 《中阿含经》卷三十三第134经大品释问经等经记载天帝释于石窟中向释迦牟尼佛请教,当中佛陀提到:“若有沙门、梵志于无上爱尽,正善心解脱者,彼至究竟、究竟白净、究竟梵行、究竟梵行讫。”这一经长又复杂,所以大多读经的人可能看到这段话之前已经花掉了,仔细读到这句话的人,也不见得会联想到这句话就是后来被引述多次的“爱尽解脱”的出处,因此实在不好找呀! 基于这句话,后来天帝释向佛陀进一步询问什么是“爱尽解脱”,该段对话又引生后续的问答及事件,算是横跨四部阿含、尼柯耶,传诵天上与人间的问答接龙。这些经载彼此间的关系如下图所示: 以下为较详细的说明,每个框框之中,上面为经号及经名,下面为该经内容简介: David Chiou: 除了四阿含及尼柯耶外,原来《中阿含经》第134经在大正藏有好几个翻译,root 找出了《佛说帝释所问经》,我也找到《杂宝藏经》卷六第73经帝释问事缘,都是本经的另译,这些译本是目前四阿含对应经典列表上还未列出的。“天帝释问佛爱尽解脱之义”这几经彼此的关系,以前也没见过探讨,要感谢 Melon 及 chakwos 的分享,三个臭皮匠胜过一个诸葛亮,谢谢大家方便未来读经的同学们。
本经中三位比丘往生成为低阶天众(音乐师傅),供养他们的女居士则成为天帝释的王子。查经过程中见到南传论,提到在他们往生前,女居士常供养三位比丘,三位比丘则为女居士说法、梵呗。三位比丘觉得自己唱梵呗唱得很好听,自鸣得意,成为天界的音乐师傅;女居士则虔敬聆听法义,因此获得殊胜的果报。看来我执无处不在,我们也都要小心,不要自鸣得意 顺道一提:像这种一连串接龙的经典遍及四阿含,可以显示市面上有种“杂阿含经最早结集”这种观点不太正确。界隔山石窟的这事件,记载的顺序是:长阿含/中阿含 → 杂阿含 → 增壹阿含。 四阿含或五尼柯耶的结集,主要还是依据经文长短来区分的,顶多说《杂阿含经》经文较短所以比较不容易记错,但要硬性区分哪一部最早结集,不太有意义,毕竟都是在佛灭五百年后才有贝叶可书写而记下。 |
|
|
|


